电磁波(比如激光)在等离子体中的传输是等离子体物理的一个基本问题。一般情况下,电磁波无法在高密度(overdense)等离子体中传输,但是其传输和能量传递在快点火激光聚变、激光粒子加速、以及超短超亮辐射源等应用中均起着关键作用。1996年,斯坦福大学的S. E. Harris教授受原子物理中电磁感应透明概念(Electromagnetically Induced Transparency, EIT)的启示,提出了等离子体中的电磁感应透明(EIT)机制,即在一束高频激光的帮助下,原本无法传输的低频激光可以在高密度等离子体中传输。然而,后续研究表明EIT无法在有边界的真实等离子体中发生,但这些研究仅限于弱相对论激光强度范围。
近日,熊猫体育-熊猫体育app
王伟民教授和中科院物理所李玉同研究员研究团队,利用自主开发的KLAPS粒子模拟程序,发现低频激光与相对论强度高频激光同时入射到等离子体后,低频激光可以穿透此等离子体;但是当两束激光的偏振垂直时,此反常传输现象消失,因此排除了常见的相对论透明效应。研究团队发展了相对论领域的三波耦合模型,给出了EIT发生的频率通带。在相对论光强条件下,该通带的宽度足以保证低频激光的稳定传输;但是在弱相对论光强条件下,该通带会变窄为一个孤立点,难以持续发展,这解释了以往研究中在弱相对论性条件下EIT效应无法发生的原因。该工作表明在原子物理中出现的电磁感应透明效应也能在等离子体物理中发生。此现象可直接应用于双锥对撞点火(DCI)和快点火激光聚变中,以提高激光耦合效率和快电子产额。
相关研究成果以“Electromagnetically Induced Transparency in the Strongly Relativistic Regime”为题于2024年2月7日发表在《物理学评论快报》(Physical Review Letters)上。中科院物理所博士生张铁怀为该文第一作者,中国人民大学王伟民教授、中科院物理所李玉同研究员为通讯作者,张杰院士为共同作者。该研究选题来自于张杰院士领导的中国科熊猫体育
战略性先导科技专项(A类)“新型激光聚变方案研究”,该项研究还得到国家自然科学基金委等的支持。
相关工作链接://journals.aps.org/prl/abstract/10.1103/PhysRevLett.132.065105

图1:[(a), (b)] 有界等离子体区域后方收集到激光场的频率谱和[(c), (d)] 滤波后的激光场波形随时间的演化,其中不同的曲线对应于双色场混合、纯泵浦波和纯低频波的入射情况。[(e),(f)] 滤波后双色场混合入射时激光场波形随时间的演化,其中蓝线和红线分别对应偏振平行和垂直两种情况。上下两行分别对应高密度和低密度两种初始设置。

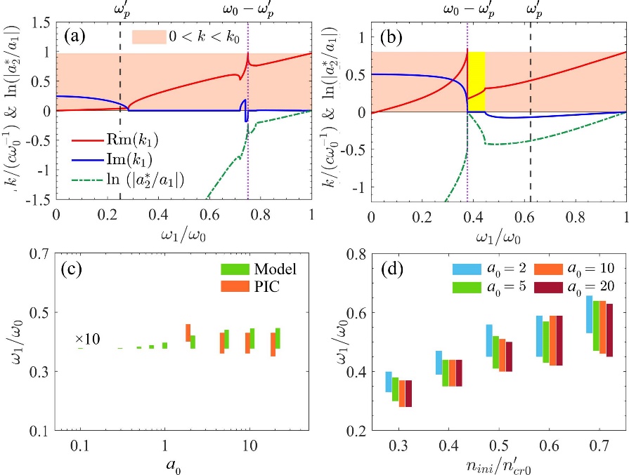
图2:解析模型给出的(a)高密度设置与(b)低密度设置下Stokes波主导分支的色散关系,在(b)中出现了较宽的通带(亮黄色标出)。(c) 固定初始等离子体密度与有效临界密度的比值后不同光强下一维PIC模拟结果与模型给出的EIT通带位置。(d) PIC模拟结果给出的不同光强与不同密度设置下的通带位置。

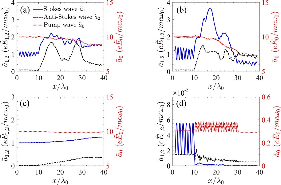
图3:Stokes波(蓝线,左轴)、反Stokes波(黑线,左轴)与泵浦波(红线,右轴)信号强度随空间位置的演化关系,初始条件下等离子体均匀分布于
区间。(a)-(c)图光强相同,初始密度不同。(d)图给出弱相对论情况的模拟结果,与以往研究结论相符。